Ontdek de magie van x plus 1 gedeeld door x is 3, vind x kwadraat plus 1 gedeeld door x kwadraat

  • nl
  • Graham
x+1/x 3 find x2+1/x2

Stel je voor: een wiskundige puzzel die je uitdaagt om verder te denken dan de simpele optelsommetjes en aftrekkingen. Een vergelijking die je meeneemt op een reis door de wereld van algebra. Vandaag ontrafelen we het mysterie van "x + 1/x = 3, vind x² + 1/x²". Klaar om je hersenen te trainen en de elegante oplossing te ontdekken?

De vergelijking x + 1/x = 3 lijkt misschien eenvoudig op het eerste gezicht, maar ze verbergt een diepere wiskundige waarheid. Het is een klassieke algebraïsche opgave die vaak gebruikt wordt om het begrip van kwadratische vergelijkingen en manipulatie van formules te testen. Het oplossen van deze vergelijking vereist een slimme truc, een beetje algebraïsche magie die ons in staat stelt om de waarde van x² + 1/x² te vinden zonder x zelf te hoeven berekenen.

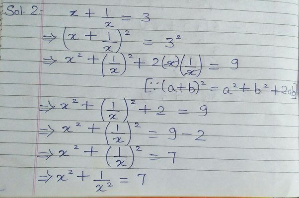
De sleutel tot het oplossen van deze puzzel ligt in het kwadrateren van beide zijden van de gegeven vergelijking. Deze techniek onthult een verborgen relatie tussen x + 1/x en x² + 1/x². Door de vergelijking (x + 1/x)² = 3² uit te werken, komen we een stap dichter bij de oplossing.

Het belang van dit soort vergelijkingen gaat verder dan alleen het oplossen van wiskundige problemen. Ze spelen een cruciale rol in verschillende wetenschappelijke disciplines, zoals natuurkunde en engineering, waar ze gebruikt worden om complexe systemen en fenomenen te modelleren. Het begrijpen van deze vergelijkingen opent de deur naar een dieper begrip van de wereld om ons heen.

Laten we nu de daad bij het woord voegen en de oplossing stap voor stap bekijken. Begin met de vergelijking x + 1/x = 3. Kwadrateer beide zijden: (x + 1/x)² = 3². Dit geeft ons x² + 2(x)(1/x) + 1/x² = 9. Vereenvoudig dit tot x² + 2 + 1/x² = 9. Trek nu 2 af van beide zijden: x² + 1/x² = 7. En voilà, de oplossing is 7!

Een veelgestelde vraag is: waarom kunnen we x niet direct berekenen? Hoewel het mogelijk is, is het veel complexer. De "truc" van het kwadrateren is een elegante shortcut.

Wat als x + 1/x een andere waarde heeft, bijvoorbeeld 4? Dan pas je dezelfde methode toe: (x + 1/x)² = 4² leidt tot x² + 1/x² = 14.

Een andere vraag is: Waar wordt dit in de praktijk gebruikt? Dit soort vergelijkingen komen voor in bijvoorbeeld elektronica en signaalverwerking.

Kan deze methode ook met hogere machten? Ja, maar de berekeningen worden complexer.

Zijn er andere manieren om dit op te lossen? Ja, maar deze methode is vaak de meest efficiënte.

Wat als x een complex getal is? De methode blijft werken.

Wat is het belang van deze techniek? Het leert ons algebraïsche manipulatie.

Hoe kan ik meer over dit onderwerp leren? Zoek online naar "algebraïsche identiteiten" of "kwadratische vergelijkingen".

Kortom, de vergelijking x + 1/x = 3, vind x² + 1/x² is meer dan alleen een wiskundige puzzel. Het is een venster naar de wereld van algebra en een waardevol hulpmiddel voor het oplossen van complexere problemen. De elegante oplossing, verkregen door het kwadrateren van beide zijden van de vergelijking, benadrukt de kracht van wiskundige manipulatie en opent de deur naar een dieper begrip van de wereld om ons heen. Door te oefenen met dit soort problemen, ontwikkel je niet alleen je wiskundige vaardigheden, maar ook je vermogen om abstract te denken en problemen creatief op te lossen. Dus, de volgende keer dat je voor een wiskundige uitdaging staat, herinner je dan de magie van x + 1/x = 3 en laat je inspireren door de elegantie van de oplossing.

Ontdek de fascinerende wereld van modegeschiedenis
De magie van canon muziek in d bladmuziek en meer
Deelbaar door drie de magische delingstest

Consider the function fx - Oregon Uniting For Liberty
Solved 1 Consider the function fx3x24x - Oregon Uniting For Liberty
x+1/x 3 find x2+1/x2 - Oregon Uniting For Liberty
Numerical Fraction 39 ClipArt ETC - Oregon Uniting For Liberty
If X1x 3 then what is the value of x²1x² - Oregon Uniting For Liberty
x+1/x 3 find x2+1/x2 - Oregon Uniting For Liberty
if x2 1x2 51 then find the value of x3 - Oregon Uniting For Liberty
x+1/x 3 find x2+1/x2 - Oregon Uniting For Liberty
x+1/x 3 find x2+1/x2 - Oregon Uniting For Liberty
Find the value of a and b so that 2x cube ax square x b has x2 - Oregon Uniting For Liberty
Solved find domain and range of function x21x2 - Oregon Uniting For Liberty
x+1/x 3 find x2+1/x2 - Oregon Uniting For Liberty
Solved 4 Point G is the centroid of ABC Use the given - Oregon Uniting For Liberty
Solved Step 3 Similarly approaching along the y - Oregon Uniting For Liberty
← Het leven is verrukkelijk ontdek de magie Im good blue david guetta de ultieme zomerhit →